All’inizio del brano e ogniqualvolta si richiede, vengono poste alcune parole per indicare la velocità di esecuzione del brano e l’andamento che questo deve avere.
Vediamone i principali
|
Largo |
Esecuzione molto sostenuta. Il suo diminutivo larghetto prescrive un movimento meno lento e un po’ più sciolto (celebre il Largo di G.F. Haendel aria dell’opera Serse) |
|
Adagio |
Tempo moderatamente lento, tra il Largo e l’Andante |
|
Andante |
Tempo tra il Moderato e l’Adagio che può essere non lento ma cadenzato oppure con un andamento piuttosto calmo |
|
Moderato |
Tempo non molto veloce che può essere utilizzato anche accoppiato ad altre indicazioni attenuandone la velocità (esempio: Allegro moderato) |
|
Allegretto |
Andamento molto simile al moderato (celebre l’Allegretto che definisce il tempo lento della Sinfonia n°7 Op.92 di L.v. Beethoven) |
|
Allegro |
Andamento vivace, rapido ma che non si riferisce al carattere espressivo del pezzo |
|
Presto |
Andamento molto vivace, sensibilmente più veloce dell’Allegro |
I compositori si servono anche di aggettivi per suggerire l’andamento da tenere durante l’esecuzione.
Compaiono così espressioni anche colorite tra i quali Molto adagio, Vivacissimo, Andantino, Allegro con fuoco, Allegro vivo, Andante cantabile, Allegro feroce, Andante lentarello.
La Promenade dei Quadri di un’esposizione di M. Musorgskij prevede addirittura la seguente frase: “Allegro giusto nel modo russico; senza allegrezza ma poco sostenuto”!
Dato che tutte questi tipi di indicazioni sono molto soggettive nel 1812 J.N. Maelzel inventò il metronomo, strumento che compie un numero di oscillazioni fissabili a piacere in un minuto sottolineate da un ticchettio.
L’indicazione in figura indica che ogni minima deve corrispondere ad una oscillazione (battito) del metronomo con il cursore posto a 80 (cioè si avranno 80 minime al minuto)

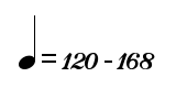
In moltissimi casi però si hanno pezzi molto espressivi che non vanno eseguiti a tempo ma hanno un andamento più libero (quasi tutti i pezzi per pianoforte di Chopin sono improponibili se eseguiti a tempo).
Perciò si possono trovare due valori (uno massimo, l’altro minimo) entro il quale l’esecutore ha maggior libertà di scelta. Segue qui una tabella che correla le indicazioni di tempi con le oscillazioni in un minuto di un quarto.
![]() |
Largo |
![]() |
Larghetto |
![]() |
Adagio |
![]() |
Andante |
![]() |
Moderato |
![]() |
Allegro |
![]() |
Presto |
Per aumentare o diminuire la velocità del pezzo si scrivono semplicemente le seguenti abbreviazioni:
|
accel. (o acc.) e stringendo |
aumento progressivo della velocità nell’esecuzione |
|
rall., rit. e calando |
abbreviazioni di rallentando e di ritardando o di ritenuto che implicano una diminuzione progressiva della velocità di esecuzione |
|
rubato |
indica un’esecuzione molto libera dal punto di vista del fraseggio (si può aumentare o diminuire la durata delle note a piacere) |







